论文阅读06 PVT
Transformer在CV任务中的应用已经得到了很多工作的验证,但是对于点云处理任务,Transformer的尝试还不是特别多,这篇文章就是以PVCNN为基础,将Transformer融入进来。
简介
- 论文:《PVT: Point-Voxel Transformer for Point Cloud Learning》
- 作者:Zhang Cheng1*, Haocheng Wan1∗, Xinyi Shen2, Zizhao Wu1†
- 机构:Hangzhou Dianzi University, University College London
- 论文水平:Arxiv
- 关键词:point-voxel && transformer
- 论文链接:paper
摘要
与卷积神经网络相比,近期一些基于纯Transformer架构的工作在点云领域的评价基准上取得了令人惊叹的准确性。然而,现有的点云Transformer的计算成本很高,因为点云数据的不规则性浪费了大量时间。为了解决这个问题,我们提出了稀疏窗口注意(Sparse Window Attention)模块来从非空体素中收集粗糙的局部特征,这不仅避免了计算昂贵的不规则数据结构和无效的空体素,而且维持了线性的计算复杂度。同时,为了收集有关全局形状的细粒度特征,我们引入了相对注意力(Relative Attention)模块,其针对物体刚性变换设计了相对位置编码。配备 SWA 和 RA,我们构建了称为 PVT 的神经架构,将两个模块集成到点云学习的联合框架中。与以前的基于 Transformer 和基于注意力的模型相比,我们的方法在分类基准上达到了 94.0% 的最高准确率,平均推理速度提高了 10 倍。大量实验也验证了 PVT 在Part Segmentation和Semantic Segmentation任务上的有效性(分别为 86.6% 和 69.2% mIoU)。
主要贡献
-
提出了PVT的框架,同时使用Transformer增强基于点的特征提取以及基于体素的特征体素方案。
-
提出了一种高效的局部注意力模块,名为SWA,结合了稀疏卷积以及Swin Transformer[1]中的shift window设计,使计算复杂度降低到线性。
-
针对点云的多视角变换问题,使用相对位置编码来计算相对注意力(RA),从而对不同视角下的点云输入鲁棒。
-
在点云分类、局部分割以及语义分割任务上均做了实验,证明方法的有效性。
方法流程
网络总览

如上图所示,网络输入一帧点云数据,经过若干组PVT模块提取特征之后,后面接多尺度的特征融合以及对应任务的输出头。这里每个PVT模块都包含了两个分支,分别从原始点云以及体素化点云两种形式上学习点云特征。其中作者指出,由于体素结构是规则且连续的,所以基于体素化的分支可以学习到局部上下文信息。而基于点的分支则更侧重于提取全局的细粒度特征,最终两分支的信息融合,以实现一个PVT模块的特征学习。
基于体素的分支
体素化分支主要解决的问题有两个,其一是降低Transformer中自注意力机制的计算复杂度,其二是解决点云稀疏性带来的大量空体素的问题。
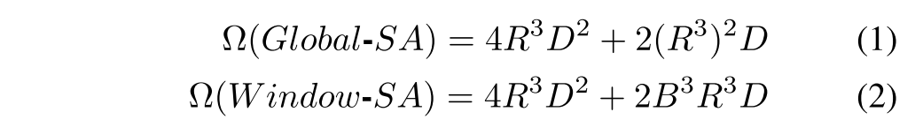
为了降低自注意力的计算复杂度,作者借鉴了Swin Transformer中划分window的思想,选择将三维体素网格划分为若干局部框,这样在每个局部框中计算自注意力,可以将计算复杂度降低到与体素数量呈线性关系的级别。复杂度的对比如下

式1表示全局的自注意力的计算复杂度,式2表示划分局部框之后的计算复杂度,总体来说,划分局部框之后,计算复杂度与体素数量R^3成线性关系。
为了解决点云稀疏性的问题,作者借鉴了Sparse Conv的思想,通过维护一个哈希表,来保留非空体素的索引,加快了计算效率。如下图所示:

此外,为了使不同的局部框之间进行信息交流,作者同样使用了Swin Transformer中的shift方案
基于点的分支
这里使用了一个通用的transformer的自注意力框架,以获得全局的点云特征,自注意力计算公式如下

为了使网络与输入点云的角度以及位置信息解耦,作者使用了相对位置编码,对每个点云中的点,都计算其余所有点相对于当前点的曼哈顿距离,公式如下

实验
定量实验
作者在点云形状分类,局部分割以及语义分割任务上都做了实验,效果均达到了SOTA。


定性实验
下面是S3DIS数据集上做的可视化定性分析

消融实验
作者评估了基于点的分支(PB)、基于体素的分支(VB)、局部框平移操作(shifting)以及每个模块的重复次数(NPB)对模型精度的关系。

Reference
[1] Liu, Z., Lin, Y., Cao, Y., Hu, H., Wei, Y., Zhang, Z., Lin, S., & Guo, B. (n.d.). Swin Transformer: Hierarchical Vision Transformer using Shifted Windows. ICCV 2021.